Curve tabellari

H / m

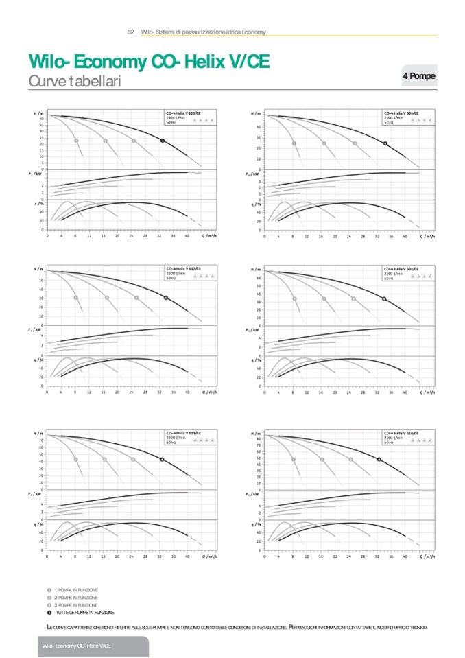
CO-4 Helix V 605/CE

2900 1/min

50 Hz

H

/ m

4 Pompe

CO-4 Helix V 606/CE

2900 1/min

50 Hz

H / m

70

60

50

40

30

20

10

CO-4 Helix V 609/CE

2900 1/min

50 Hz

H

/ m

80

70

60

50

40

30

20

10

CO-4 Helix V 610/CE

2900 1/min

50 Hz

82 Wilo-Sistemi di pressurizzazione idrica Economy

Wilo-Economy CO-Helix V/CE

40

35

30

25

20

1

2

3

4

15

10

5

1

2

3

4

40

30

20

10

0

0

P2 /kW

η/%

η/%

40

40

20

20

0

0

0

4

8

12

16

20

24

28

32

36

40

Q/m3/h

2

1

3

2

1

0

0

H / m

50

40

30

1

2

3

4

20

10

CO-4 Helix V 607/CE

2900 1/min

50 Hz

H / m

60

50

40

30

20

10

0

4

8

12

16

20

24

28

32

36

40

Q/m3/h

CO-4 Helix V 608/CE

2900 1/min

50 Hz

1

2

3

4

0

4

8

12

16

20

24

28

32

36

40

Q/m3/h

0

0

P2 /kW

η/%

η/%

40

40

20

20

0

0

0

4

8

12

16

20

24

28

32

36

40

Q/m3/h

4

2

4

2

0

0

1

2

3

4

1

2

3

4

0

0

P2 /kW

4

2

2

0

0

η/%

η/%

40

40

20

20

0

0

0

4

8

12

16

20

24

28

32

36

40

Q/m3/h

1

1 POMPA IN FUNZIONE

2

2 POMPE IN FUNZIONE

3

3 POMPE IN FUNZIONE

4

TUTTE LE POMPE IN FUNZIONE

P2 /kW

L

E CURVE CARATTERISTICHE SONO RIFERITE ALLE SOLE POMPE E NON TENGONO CONTO DELLE CONDIZIONI DI INSTALLAZIONE

. P

ER MAGGIORI INFORMAZIONI CONTATTARE IL NOSTRO UFFICIO TECNICO

.

Wilo-Economy CO-Helix V/CE

P2 /kW

P2 /kW

4

0

4

8

12

16

20

24

28

32

36

40

Q/m3/h