Curve tabellari

H / m

20

16

12

1

2

3

4

8

4

CO-4 Helix V 404/CE

2900 1/min

50 Hz

H / m

25

20

15

10

5

4 Pompe

CO-4 Helix V 404/CE

2900 1/min

50 Hz

1

2

3

4

0

2

4

6

8

10

12

14

16

18

20

22

24

26

28Q/m3/h

P2 /kW

1

0,5

P2 /kW

1,5

1

0,5

40

20

H / m

40

35

30

25

20

15

10

40

H / m

60

50

40

30

20

10

CO-4 Helix V 409/CE

2900 1/min

50 Hz

H / m

70

60

50

CO-4 Helix V 410/CE

2900 1/min

50 Hz

2

1

2

1

80 Wilo-Sistemi di pressurizzazione idrica Economy

Wilo-Economy CO-Helix V/CE

0

0

0

0

η/%

η/%

20

0

0

0

2

4

6

8

10

12

14

16

18

20

22

24

26

28Q/m3/h

1

2

3

4

2900 1/min

50 Hz

50

40

30

20

10

1

2

3

4

5

0

0

P2 /kW

η/%

η/%

40

40

20

20

0

0

0

2

4

6

8

10

12

14

16

18

20

22

24

26

28Q/m3/h

0

0

CO-4 Helix V 406/CE

H / m

CO-4 Helix V 407/CE

2900 1/min

50 Hz

1

2

3

4

1

2

3

4

40

30

20

10

0

0

P2 /kW

η/%

η/%

40

40

20

20

0

0

0

2

4

6

8

10

12

14

16

18

20

22

24

26

28Q/m3/h

1

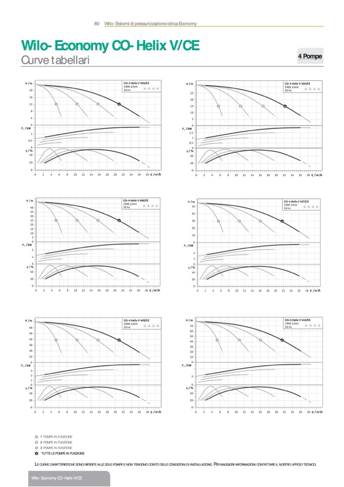
1 POMPA IN FUNZIONE

2

2 POMPE IN FUNZIONE

3

3 POMPE IN FUNZIONE

4

TUTTE LE POMPE IN FUNZIONE

3

2

1

2

0

0

L

E CURVE CARATTERISTICHE SONO RIFERITE ALLE SOLE POMPE E NON TENGONO CONTO DELLE CONDIZIONI DI INSTALLAZIONE

. P

ER MAGGIORI INFORMAZIONI CONTATTARE IL NOSTRO UFFICIO TECNICO

.

Wilo-Economy CO-Helix V/CE

P2 /kW

P2 /kW

0

2

4

6

8

10

12

14

16

18

20

22

24

26

28Q/m3/h

0

2

4

6

8

10

12

14

16

18

20

22

24

26

28Q/m3/h