A

R

T

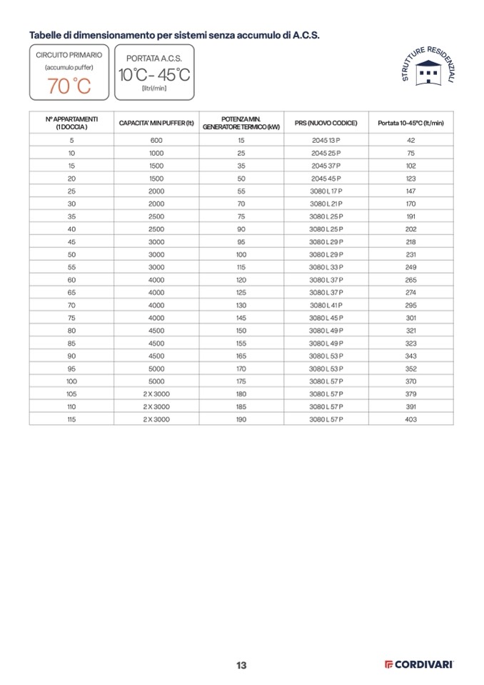
N° APPARTAMENTI

(1 DOCCIA )

CAPACITA' MIN PUFFER (lt)

POTENZA MIN.

GENERATORE TERMICO (kW)

PRS (NUOVO CODICE)

Portata 10-45°C (lt/min)

Tabelle di dimensionamento per sistemi senza accumulo di A.C.S.

CIRCUITO PRIMARIO

(accumulo puffer)

70

°

C

5

10

15

20

25

30

35

40

45

50

55

60

65

70

75

80

85

90

95

100

105

110

115

PORTATA A.C.S.

10

°

C- 45

°

C

[litri/min]

600

15

1000

25

1500

35

1500

50

2000

55

2000

70

2500

75

2500

90

3000

95

3000

100

3000

115

4000

120

4000

125

4000

130

4000

145

4500

150

4500

155

4500

165

5000

170

5000

175

2 X 3000

180

2 X 3000

185

2 X 3000

190

R

13

2045 13 P

42

2045 25 P

75

2045 37 P

102

2045 45 P

123

3080 L 17 P

147

3080 L 21 P

170

3080 L 25 P

191

3080 L 25 P

202

3080 L 29 P

218

3080 L 29 P

231

3080 L 33 P

249

3080 L 37 P

265

3080 L 37 P

274

3080 L 41 P

295

3080 L 45 P

301

3080 L 49 P

321

3080 L 49 P

323

3080 L 53 P

343

3080 L 53 P

352

3080 L 57 P

370

3080 L 57 P

379

3080 L 57 P

391

3080 L 57 P

403