68 Wilo-Stratos GIGA

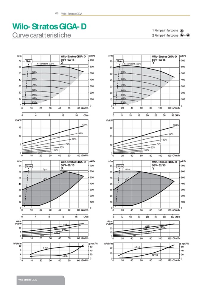
Wilo-Stratos GIGA-D

Curve caratteristiche

H/m

p/kPa

H/m

70

700

70

20

200

20

1 Pompa in funzione

2 Pompe in funzione

p/kPa

700

600

50

500

50

500

40

400

40

400

30

300

30

300

Qmin

90%

80%

70%

60%

50%

40%

���

���������� ����

Wilo-Stratos GIGA-D

50/4-62/15

X

90%

���������� ����

Wilo-Stratos GIGA-D

50/4-62/15

Y

Qmin

80%

70%

60%

50%

40%

���

60

600

60

10

100

0

0

200

10

100

0

0

0

20

40

60

80

100

120 Q/m3/h

0

0

10

20

30

8

40

50

60 Q/m3/h

16

Q/l/s

100%

90%

80%

70%

25 %

40

60%

50%

P

1

/kW

15

10

5

H/m

70

P

1

/kW

30

20

4

12

0

5

10

15

20

25

30

35Q/l/s

100%

90%

80%

70%

2

%

40

60%

50%

10

0

%

0

5

%

0

10

20

30

40

50

60 Q/m3/h

0

20

40

60

80

100

120 Q/m3/h

Wilo-Stratos GIGA-D

50/4-62/15

X

Qmin

Wilo-Stratos GIGA-D

50/4-62/15

Y

Qmin

p/kPa

H/m

700

70

p/kPa

700

60

50

40

30

20

10

����

P

1

/kW

10

5

0

NPSH/m

12

8

4

0

0

0

10

10

4

20

4

20

30

8

30

40

40

12

50

50

60 Q/m3/h

16

Q/l/s

60 Q/m3/h

0

20

40

60

80

100

120 Q/m3/h

0

5

10

15

20

25

30

35Q/l/s

600

500

400

300

200

100

� ����/%

60

40

20

600

60

500

50

400

40

300

30

200

20

100

10

0

0

0

0

����

P

1

/kW

20

10

0

� ����/%

NPSH/m

60

20

40

20

10

0

20

40

60

80

100

120 Q/m3/h

m

4m

� ����

NPSH

� ����

NPSH

0

0

0

0

0

10

20

30

40

50

60 Q/m3/h

0

20

40

60

80

100

120 Q/m3/h

Wilo-Stratos GIGA

����

����

����

����

max.

max.

34m

48m

34m

48m

20m

20m