98 Pompe in-line a motore ventilato elettroniche

Curve caratteristiche

Curve caratteristiche

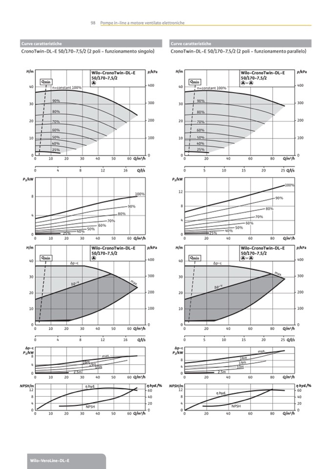
CronoTwin-DL-E 50/170-7,5/2 (2 poli - funzionamento singolo)

CronoTwin-DL-E 50/170-7,5/2 (2 poli - funzionamento parallelo)

H/m

p/kPa

H/m

p/kPa

Qmin

Wilo-CronoTwin-DL-E

50/170-7,5/2

X

n=constant 100%

90%

80%

70%

60%

50%

40%

25%

Qmin

n=constant 100%

90%

80%

Wilo-CronoTwin-DL-E

50/170-7,5/2

Y

70%

60%

50%

40%

25%

40

400

30

300

20

200

10

100

40

400

30

300

20

200

10

100

0

0

0

0

0

10

20

30

40

50

60Q/m3/h

0

4

8

12

16

Q/l/s

0

20

40

60

80

Q/m3/h

0

5

10

15

20

25Q/l/s

0

20

40

60

8

0

Q/m3/h

100%

90%

80%

25

40

%

%

50%

70%

60%

100%

90%

80%

70%

25%

40

60%

50%

%

P

1

/kW

8

4

P

1

/kW

12

8

4

0

0

0

10

20

30

40

50

60 Q/m3/h

Qmin

Δp-c

Wilo-CronoTwin-DL-E

50/170-7,5/2

X

Qmin

Δp-c

Wilo-CronoTwin-DL-E

50/170-7,5/2

Y

H/m

40

p/kPa

H/m

400

40

p/kPa

400

30

20

10

Δp-c

P

1

/kW

8

300

200

100

300

30

200

20

100

10

0

0

0

0

0

10

20

30

40

50

60Q/m3/h

0

4

8

12

16

Q/l/s

0

20

40

60

80

Q/m3/h

0

5

10

15

20

25Q/l/s

0

20

40

60

8

0

Q/m3/h

Δp-c

P

1

/kW

8

4

0

0

0

10

20

30

40

50

60 Q/m3/h

4

NPSH/m

12

η hyd.

NPSH

η hyd.

NPSH

NPSH/m

12

η hyd./%

60

η hyd./%

60

40

20

8

4

0

8

4

2

0

4

0

0

0

0

0

10

20

30

40

50

60Q/m3/h

0

20

40

60

80

Q/m3/h

Wilo-VeroLine-DL-E

max.

max.

Δp-v

Δp-v

19m

max.

max.

28m

28m

19m

10m

10m

2,5m

2,5m