64 Pompe in-line a motore ventilato elettroniche

Curve caratteristiche

Curve caratteristiche

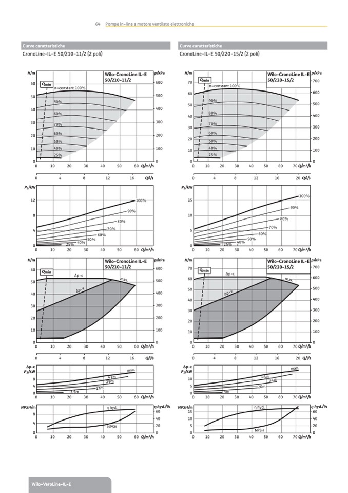
CronoLine-IL-E 50/210-11/2 (2 poli)

CronoLine-IL-E 50/220-15/2 (2 poli)

H/m

p/kPa

H/m

600

70

60

50

40

30

300

20

200

10

100

Qmin

90%

80%

70%

60%

50%

40%

25%

Wilo-CronoLine IL-E

50/220-15/2

n=constant 100%

Qmin

90%

80%

Wilo-CronoLine IL-E

50/210-11/2

n=constant 100%

70%

60%

50%

40%

25%

60

50

40

30

20

200

10

100

p/kPa

700

500

400

300

600

500

400

0

0

0

0

0

10

20

30

40

50

60

70Q/m3/h

0

4

8

12

16

20Q/l/s

P

1

/kW

15

8

10

4

5

0

0

0

10

20

30

40

50

60Q/m3/h

0

4

8

12

16

Q/l/s

P

1

/kW

100%

90%

80%

70%

25%

50

40%

60%

%

25 %

40%

60%

50%

80%

70%

90%

12

100%

0

10

20

30

40

50

60Q/m3/h

H/m

p/kPa

0

10

20

30

40

50

60

70Q/m3/h

H/m

p/kPa

Qmin

Δp-c

Wilo-CronoLine IL-E

50/220-15/2

Wilo-CronoLine IL-E

50/210-11/2

Qmin

Δp-c

60

50

40

30

300

20

200

10

100

60

50

40

30

300

20

200

10

100

600

70

700

600

500

400

500

400

0

0

0

0

0

10

20

30

40

50

60Q/m3/h

0

4

8

12

16

Q/l/s

Δp-c

0

10

20

30

40

50

60

70Q/m3/h

0

4

8

12

16

20Q/l/s

Δp-c

4m

3,5m

P

1

/kW

8

10

4

5

0

0

P

1

/kW

0

10

20

30

40

50

60Q/m3/h

NPSH/m

8

4

0

10

20

30

40

50

60

70Q/m3/h

η hyd./%

NPSH/m

η hyd./%

60

40

η hyd.

NPSH

η hyd.

NPSH

60

15

40

10

2

0

5

20

0

0

0

0

0

10

20

30

40

50

60Q/m3/h

0

10

20

30

40

50

60

70Q/m3/h

Wilo-VeroLine-IL-E

max.

max.

Δp-v

Δp-v

max.

max.

41m

48m

34m

29m

17m

20m