120

100

80

1

2

3

4

60

40

20

0

P2 /kW

15

30

25

20

15

10

5

0

P2 /kW

0

η/%

0

η/%

H / m

40

30

20

10

0

P2 /kW

8

4

0

η/%

40

20

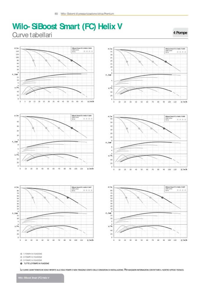
SiBoost Smart FC 4 Helix V 1604

2900 1/min

50 Hz

1

2

3

4

H/m

60

50

40

30

20

10

0

P2 /kW

8

4

0

η/%

40

20

SiBoost Smart FC 4 Helix V 1605

2900 1/min

50 Hz

H / m

80

70

60

50

40

30

20

10

SiBoost Smart FC 4 Helix V 1607

2900 1/min

50 Hz

H

/ m

80

70

60

SiBoost Smart FC 4 Helix V 1607

2900 1/min

50 Hz

P2 /kW

15

P2 /kW

15

60 Wilo-Sistemi di pressurizzazione idrica Premium

Wilo-SiBoost Smart (FC) Helix V

Curve tabellari

H / m

2900 1/min

140

50 Hz

35

2900 1/min

50 Hz

1

2

3

4

0

10

20

30

40

50

60

70

80

90

100

110

Q/m3/h

10

4

5

40

40

20

20

0

0

0

5

10

15

20

25

30

35

40

45

50

55

60

65

Q/m3/h

0

0

10

20

30

40

50

60

70

80

90

100

110

Q/m3/h

0

0

10

20

30

40

50

60

70

80

90

100

110

Q/m3/h

SiBoost Smart FC 4 Helix V 1015

4 Pompe

H/m

SiBoost Smart FC 4 Helix V 1603

1

2

3

4

1

2

3

4

50

40

30

20

10

0

0

10

5

5

10

0

0

η/%

η/%

40

40

20

20

0

0

0

10

20

30

40

50

60

70

80

90

100

110

Q/m3/h

1

1 POMPA IN FUNZIONE

2

2 POMPE IN FUNZIONE

3

3 POMPE IN FUNZIONE

4

TUTTE LE POMPE IN FUNZIONE

0

10

20

30

40

50

60

70

80

90

100

110

Q/m3/h

L

E CURVE CARATTERISTICHE SONO RIFERITE ALLE SOLE POMPE E NON TENGONO CONTO DELLE CONDIZIONI DI INSTALLAZIONE

. P

ER MAGGIORI INFORMAZIONI CONTATTARE IL NOSTRO UFFICIO TECNICO

.

Wilo-SiBoost Smart (FC) Helix V

1

2

3

4