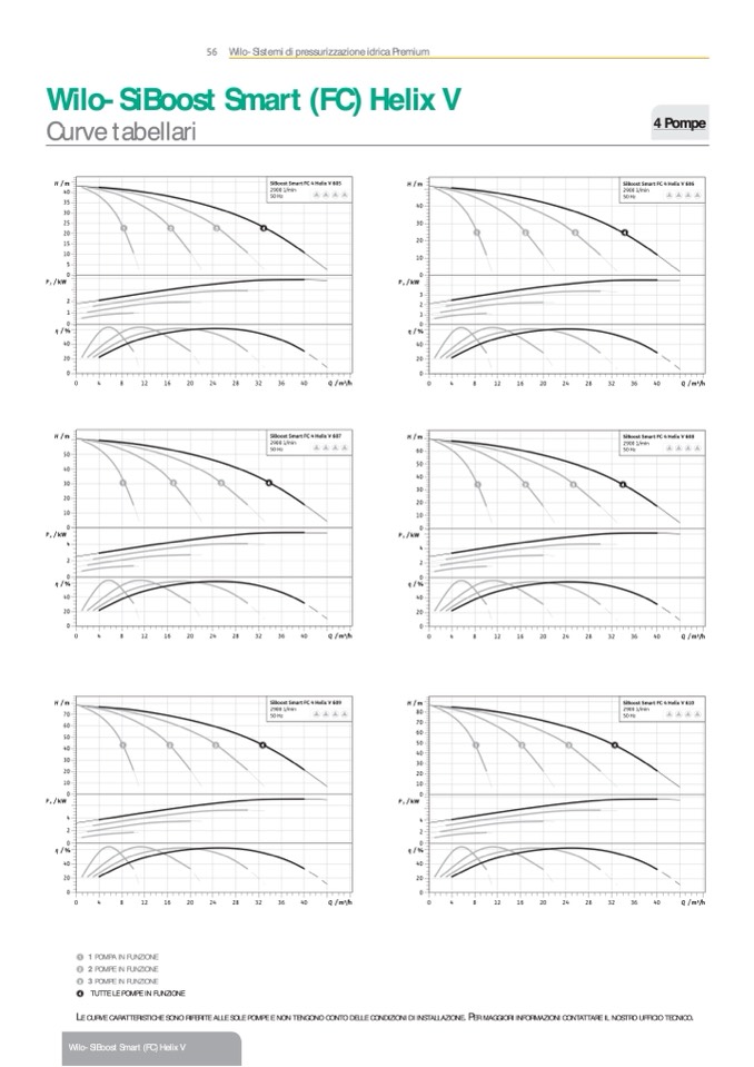
Curve tabellari

4 Pompe

SiBoost Smart FC 4 Helix V 606

2900 1/min

50 Hz

1

2

3

4

0

4

8

12

16

20

24

28

32

36

40

Q/m3/h

SiBoost Smart FC 4 Helix V 608

2900 1/min

50 Hz

1

2

3

4

0

4

8

12

16

20

24

28

32

36

40

Q/m3/h

H/m

40

35

30

25

20

15

10

SiBoost Smart FC 4 Helix V 605

2900 1/min

50 Hz

H / m

40

30

20

10

1

2

3

4

���� Wilo-Sistemi di pressurizzazione idrica Premium

Wilo-SiBoost Smart (FC) Helix V

5

0

0

P2 /kW

η/%

η/%

40

40

20

20

0

0

0

4

8

12

16

20

24

28

32

36

40

Q/m3/h

H/m

SiBoost Smart FC 4 Helix V 607

H / m

2900 1/min

2

1

3

2

1

0

0

50

40

30

1

2

3

4

20

10

50 Hz

60

50

40

30

20

10

0

0

P2 /kW

η/%

η/%

40

40

20

20

0

0

0

4

8

12

16

20

24

28

32

36

40

Q/m3/h

H/m

70

60

50

40

30

20

10

SiBoost Smart FC 4 Helix V 609

2900 1/min

50 Hz

H / m

SiBoost Smart FC 4 Helix V 610

80

2900 1/min

4

2

4

2

0

0

1

2

3

4

70

60

50

1

2

3

4

40

30

20

10

0

0

P2 /kW

4

2

2

0

0

η/%

η/%

40

40

20

20

0

0

0

4

8

12

16

20

24

28

32

36

40

Q/m3/h

1

1 POMPA IN FUNZIONE

2

2 POMPE IN FUNZIONE

3

3 POMPE IN FUNZIONE

4

TUTTE LE POMPE IN FUNZIONE

P2 /kW

L

E CURVE CARATTERISTICHE SONO RIFERITE ALLE SOLE POMPE E NON TENGONO CONTO DELLE CONDIZIONI DI INSTALLAZIONE

. P

ER MAGGIORI INFORMAZIONI CONTATTARE IL NOSTRO UFFICIO TECNICO

.

Wilo-SiBoost Smart (FC) Helix V

P2 /kW

P2 /kW

4

0

4

8

12

16

20

24

28

32

36

40

Q/m3/h

50 Hz